Job Description
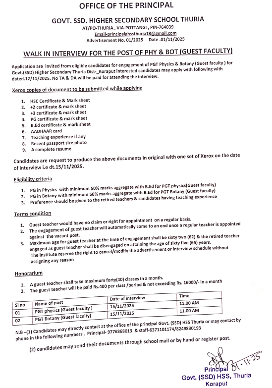
The Govt. SSD Higher Secondary School, Thuria (Koraput, Odisha) has released a recruitment notification for 2025, inviting eligible candidates to attend a walk-in interview for Guest Faculty positions. This is a great opportunity for qualified educators passionate about teaching at the higher secondary level.
Job Details
Job Title: PGT – Guest Faculty
Employment Type: Guest Basis
Departments Available
- Physics
- Botany

Qualification Required
Candidates should possess:
- Post Graduation (PG) in the relevant subject with a minimum of 55% marks
- B.Ed. in the respective field
Job Location
Thuria, Koraput, Odisha
Pay Scale
- ₹400 per class
- Maximum up to ₹16,000 per month
Mode of Application
Walk-In Interview
How to Apply
Interested and eligible candidates are required to attend the walk-in interview as per the details below:
Date: 15th November 2025
Venue:
Govt. SSD Higher Secondary School
Thuria, Koraput, Odisha
Candidates must bring:
- Updated CV
- Original Certificates (for verification)
- One set of photocopies of all documents
- Recent passport-size photographs
- Any other supporting documents
Important Link:
Official Notification: CLICK HERE
Key Highlights
- Guest Faculty positions for Physics and Botany
- Direct walk-in interview—no online application required
- Attractive per-class payment structure
Note: Candidates are advised to report on time with all required documents. Incomplete applications or absence of original certificates may lead to disqualification.
Join us on WhatsApp & Telegram for the latest daily updates.